剛剛在FB上看到旦旦這張失敗太亮的照片,剛好可以用來實驗這次的程式。

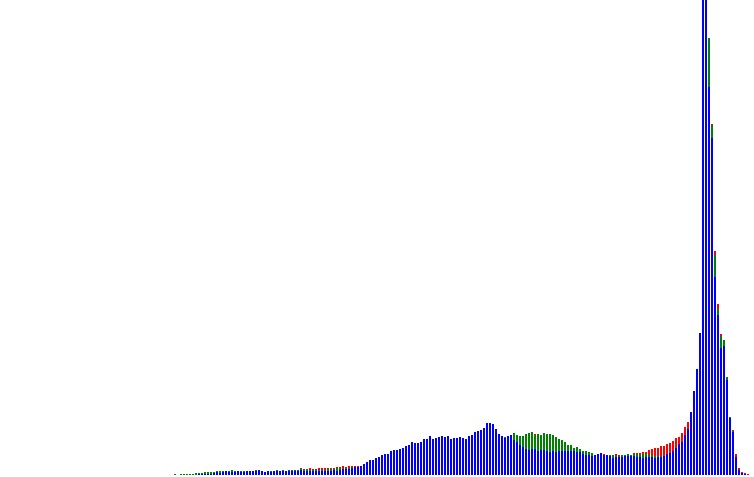
首先看看原圖的RGB直方圖如下

之後看看原圖均化後的RGB直方圖如下

最後放上原圖和均化後的圖直接比較看看如下圖

像老師說的照片要選得好才行不然看不出效果來,可是在背景和顏色上也要選好不要只有單一兩種顏色,像此圖就是有點白色太多導致效果不是很好。再程式部分是利用之前練習的程式去加以修改,可是實際在寫程式時對於演算法部分還是不太了解,還有如何在產生均化後的圖和直方圖出來這些都有點用不好,不過還好在同學幫忙下一起解決了問題,順利的顯示出圖出來但是可能整個排版沒規劃很好所以還是有些小Bug。
沒有留言:
張貼留言